納米錫添加物對無鉛錫膏的影響

https://www.fotric222.com/
納米錫添加物對無鉛錫膏的影響
錫銀銅錫膏是半導體(ti) 封裝行業(ye) 最常用的的無鉛錫膏之一。SAC錫膏具有中等焊接溫度,適應各種中溫條件運作的元器件。焊接完成後的焊點可靠性一直都是業(ye) 界熱議的話題。在進行熱老化後,傳(chuan) 統的SAC錫膏強度會(hui) 迅速退化。原因在於(yu) 焊點和PCB界麵出現大量脆性IMC Cu3Sn生長。IMC是影響焊點可靠性的重要因素。隨著老化時間增加,IMC厚度逐漸增加使得焊點出現脆性斷裂。
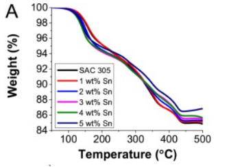
近些年出現了許多關(guan) 於(yu) 納米顆粒的討論。研究者試圖了解添加納米顆粒對焊料性質的影響。有實驗發現加入Sn納米顆粒使錫膏出現第二個(ge) 吸熱峰,即納米顆粒熔解, 且峰值隨著顆粒添加量增加而增加 (Wernicki & Gu, 2020)。此外熔化範圍也隨著添加量增大而增大。Wernicki 和 Gu後續實驗發現納米複合焊料熔化後還會(hui) 生成一個(ge) 不同於(yu) SAC錫膏和Sn納米顆粒的吸熱峰,表示了SAC合金與(yu) Sn納米顆粒之間產(chan) 生了相互作用並形成新的合金。並且隨著加熱的進行,納米複合錫膏有著更好的重量保持能力 (圖2)。
圖1: 添加了納米顆粒的錫膏及其差示掃描量熱結果。納米顆粒熔化生成第二個(ge) 吸熱峰(Wernicki & Gu, 2020)。
圖2: 不同納米顆粒添加量的SAC305錫膏TGA分析 (Wernicki & Gu, 2020)。
納米添加物對焊點可靠性能起到改善作用。Atieh et al. (2019)在SCAN-Ge071-XF3+錫膏中加入10wt%的Sn納米顆粒 (粒徑<150nm)。實驗結果表明,添加了Sn納米顆粒使該錫膏最高強度得到了提升,並在機械衝(chong) 擊測試中表麵良好。除了Sn納米顆粒,還有很多其他類型的納米顆粒可以用於(yu) 優(you) 化錫膏性能並改善焊點可靠性。例如,Chellvarajoo et al. (2015) 研究了Fe2NiO4納米顆粒對SAC305錫膏的影響。結果發現在SAC305焊料中添加2.5wt% Fe2NiO4納米顆粒後,IMC厚度減少了 59%。
ac米兰官方网站采用全新的複合焊料方法。在錫鉍合金中加入了多種元素的納米顆粒,有效抑製了Bi偏析,從(cong) 而減緩了IMC生長速度和避免了脆性焊點的形成。歡迎谘詢和了解相關(guan) 米兰体育登录入口官网。
參考文獻
Atieh, A.M., Abedalaziz, T.J., AIHazaa, A., Weser, M., Al-Kouz, W.G., Sari, M.S., & Alhowemi, I. (2019), “Soldering of Passive Components Using Sn Nanoparticle Reinforced Solder Paste: Influence on Microstructure and Joint Strength”, Nanomaterials, 9(10),1478.
Chellvarajoo, S., Abdullah, M.Z., & Samsudin, Z. (2015), “Effects of Fe2NiO4 nanoparticles addition into lead free Sn–3.0Ag–0.5Cu solder pastes on microstructure and mechanical properties after reflow soldering process”, Maters & Design, vol.67, pp. 197–208.
Wernicki, E., & Gu, Z.Y. (2020), “Effect of Sn nanoparticle additions on thermal properties of Sn-Ag-Cu lead-free solder paste”, Thermochimica Acta, vol. 690.

返回列表